

Наружный блок для мульти-сплит-системы Hisense AMW5-36U4RQC серия FREE Match DC Inverter
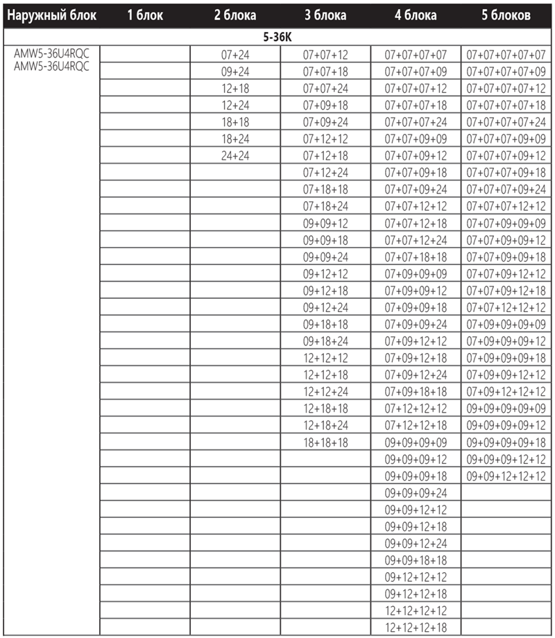
Рассчитан на подключение 5 внутренних блоков. Общая площадь охлаждения до 100 кв.м, комбинации внутренних блоков подбираются индивидуально. Внутренние блоки можно подобрать здесь.
При подключении нескольких внутренних блоков, суммарная производительность которых превышает номинальную мощность наружного блока, при одновременной эксплуатации каждый из них будет работать со сниженной производительностью. Такой вариант подключения допускается в случае, когда внутренние блоки используются не одновременно (например, ночью – спальня, днем – гостиная).
Внутренние блоки одновременно могут работать только в одном режиме — охлаждения или нагрева, но в каждом помещении можно задавать и поддерживать индивидуальные параметры воздуха при помощи индивидуального пульта управления.
В мульти-сплит-системе используется экологически безопасный хладагент R32 с низким потенциалом глобального потепления. DC-инверторные технологии гарантируют стабильную, тихую работу и надежность оборудования.
Особенности и преимущества:
- Накладка на вентили наружного блока — защита от механических повреждений и воздействия окружающей среды, эстетичный внешний вид.
- Режим охлаждения при температуре наружного воздуха до -15°С
- R32 — новый озонобезопасный, энергоэффективный хладагент.
Возможные комбинации:


- 2026-multi-eu-dc-inverter-instruction.pdf (22.47 MBytes) - Инструкция по эксплуатации
















































































